Der Magnuseffekt - Hörsaalversuch

Ein
Zylinder wird mit
angeströmt und rotiert
mit
. Die Relativgeschwindigkeit
der Gasströmung bezüglich des rotierenden Zylinders ergibt sich dann
folgendermaßen:
Oberseite: ![]()
Unterseite: ![]()
Die
Anwendung der Bernoulligleichung liefert die Differenz der statischen Drücke
zwischen Unter- und Oberseite:

also
die Druckdifferenz

Nach
dem Ausrechnen erhält man für die Druckdifferenz:

Wirkt
die Druckdifferenz auf eine effektive Fläche Aeff,
so erhält man die Querkraft

Diese
(dynamische ) Querkraft steht senkrecht auf
und dem Vektor
. Da der Radiusvektor
senkrecht auf der Oberflächennormalen der Zylinderfläche steht, erhält man:

Die mittlere wirksame
Geschwindigkeit ist jedoch nur halb so groß, wie die Anströmgeschwindigkeit v0.
Daher gilt schließlich:

bzw.:

mit h als Zylinderlänge. Hat
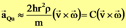
der Zylinder die Masse m, so unterliegt er der Querbeschleunigung

Die Konstante C ist dimensionslos und hat in unserem Hörsaalexperiment den
Betrag C = 9E-3.
Im folgenden Video ist die
erste Flugphase des rotierenden Zylinders dargestellt. Der Zeitausschnitt
beträgt 3s. Infolge der Bewegung entsteht eine Unschärfe, die den Zylinder als
rechteckige Fläche erscheinen lässt.
Nachdem der Zylinder mit dem
Motor (Drehzahl 2000 U/min) aufgezogen wurde, wird er mit einem kurzen
Vorwärtsimpuls abgelassen. Im Rechenbeispiel wird mit einer horizontalen
Anfangsgeschwindigkeit von 1m/s gerechnet. Im freien Fall würde er nahezu
senkrecht innerhalb einer Sekunde nach unten fallen. Tatsächlich bewegt er sich
auf einer schrägen Bahn mehrere Meter in den Raum hinein. Die Trajektorie flacht in Bodennähe zunehmend ab und steigt
sogar geringfügig wieder an. Die gesamte Flugzeit betrug etwa 2 bis 3 Sekunden.
Folgendes geschieht:
Durch den nahezu freien Fall
während der Anfangsphase des Fluges gewinnt der Zylinder eine vertikale
Geschwindigkeitskomponente vz, die dem
Zylinder durch den Magnuseffekt eine horizontale Geschwindigkeitskomponente vx verleiht.
Die Horizontalbewegung
schließlich führt zu einem dynamischen Auftrieb, der den Zylinder wieder
steigen lässt.
Die Rechnung sieht
folgendermaßen aus:
Die Gesamtbeschleunigung ages
ergibt sich als Summe der Erdbeschleunigung g und der Beschleunigung durch den
Magnuseffekt aM :
![]()
Mit

bzw.
unter Verwendung der Abkürzung
gilt:
![]()
Die Vektoren
und
haben folgende
Komponenten (x-Weite, z-Höhe):
![]()

![]()
Der Betrag für Ω folgt
aus dem Betrag für C = 9E-3 und der Drehzahl des Motors 2000 U/min.
Berechnet man das
Kreuzprodukt, so erhält man schließlich:
![]()
Die Gesamtbeschleunigung
erhält man mit
(g = 9,81m/s²) zu

Da die zeitabhängige
Geschwindigkeit v in der Beschleunigung enthalten ist, bietet sich ein
iteratives Integrationsverfahren zur Lösung der Differentialgleichung an. Wir
verwenden das numerische Eulersche Integrationsverfahren mit den Anfangswerten:
vx(t=0) = 1 m/s ; vy(t=0) = 0 m/s ; x(t=0) = 0 m ; z(t=0) = h =
5,30 m
Mit einer Schrittweite von
0,03s erhält man folgende Grafik für die Trajektorie:

Die Grafik verdeutlicht das
experimentelle Resultat: Im Vergleich zum einfachen waagerechten Wurf fliegt
die Rolle weit in den Raum hinein. Kurz vor Erreichen des Bodens wird die Bahn
durch den Auftrieb sogar wieder etwas angehoben. Während im freien Fall der Boden
etwa nach einer Sekunde erreicht würde, fällt die Rolle im Versuch erst nach
zwei bis drei Sekunden auf den Boden (im Video ist ein deutliches Krachen zu
vernehmen. Den Verlauf der Geschwindigkeit entnimmt man der folgenden
Abbildung:

Es wird deutlich, dass die
Bahngeschwindigkeit ihr Maximum im Bahnminimum nach 1,6s erreicht, um dann
wieder abzunehmen.
Die Rechnung berücksichtigt
nicht die Abnahme der Drehzahl sowie der Geschwindigkeit durch Reibung. Daher
dürften die errechneten Werte am Ende der Bahn von den tatsächlichen Parametern
abweichen.
Ausblick:
Die folgende Grafik wurde für
den doppelten Wert C = 1,8E-2 berechnet. Die Flugbahn nähert sich der einer
Zykloide an, wobei die Periode mit zunehmendem C abnimmt.
